Rxi-5Sil MS氣相色譜柱 (熔融石英)
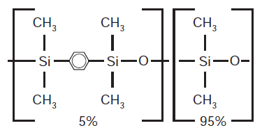
Rxi-5Sil MS結構

類似于: (5%-苯基)-甲基聚硅氧烷
(低極性相;Crossbond? 1,4-雙(二甲基硅氧烷)苯基二甲基聚硅氧烷)
? 設計成低流失的的GC-MS色譜柱。
? 對于活性化合物,具有*佳的惰性。
? 通用柱—多環芳烴化合物、氯化烴類、鄰苯二甲酸鹽、酚類、胺類、有機氯殺蟲劑、有機磷殺蟲劑、藥物、溶劑雜質和烴類的GC/MS 分析的理*柱。
? 溫度范圍:-60 °C到350 °C。
Rxi?-5Sil MS的固定相是在聚合主鏈結合了苯基。這就提高了熱穩定性,減少了流失,同時使固定相不易于氧化。Rxi?-5Sil MS柱是需要高敏感度的GC/MS應用和離子阱系統的理*柱。
類似固定相:DB-5ms, DB-5msUI, VF-5ms, CP-Sil 8CB, ZB-5msi, Rtx-5Sil MS
訂貨信息:
Rxi-5Sil MS氣相色譜柱 (熔融石英)
ID | df | 溫度限度 | 15-米 | 30-米 | 60-米 |
|
0.25 mm | 0.10 μm | -60 to 320/350 °C | 13605 | 13608 |
|
|
0.25 μm | -60 to 320/350 °C | 13620 | 13623 | 13626 |
|
0.50 μm | -60 to 320/350 °C | 13635 | 13638 |
|
|
1.00 μm | -60 to 320/350 °C | 13650 | 13653 | 13697 |
|
0.32 mm | 0.25 μm | -60 to 320/350 °C | 13621 | 13624 |
|
|
0.50 μm | -60 to 320/350 °C |
| 13639 |
|
|
1.00 μm | -60 to 320/350 °C |
| 13654 |
|
|
0.53 mm | 1.50 μm | -60 to 320/330 °C |
| 13670 |
|
|
ID | df | 溫度限度 | 10-米 | 20-米 | 40-米 | 60-米 |
0.15 mm | 0.15 μm | -60 to 320/350 °C | 43815 | 43816 |
|
|
2.0 μm | -60 to 320/350 °C |
| 43817 |
|
|
0.18 mm | 0.10 μm | -60 to 320/350 °C |
|
|
| 43607 |
0.18 μm | -60 to 320/350 °C |
| 43602 | 43605 |
|
0.36 μm | -60 to 320/350 °C |
| 43604 |
|
|